
大概算了一下)中间那段有两个对应的式子)看情况取吧)
 本帖最后由 ETW_Derp 于 2021-5-16 16:47 编辑 
懒了,用wolframalpha解吧:
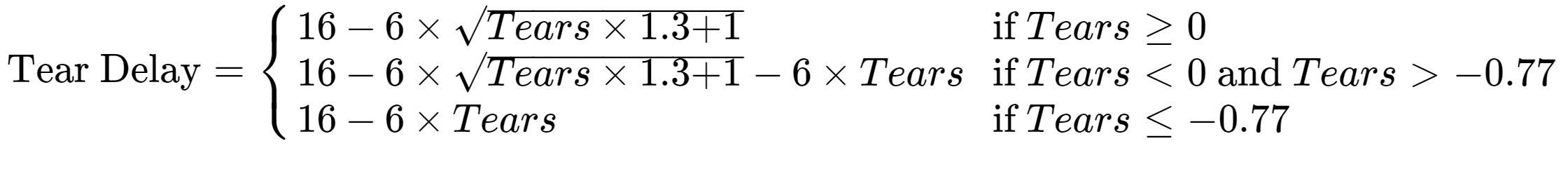
由于要求反函数,所以原式的Tear Delay这里用x代替,由于是分段函数,所以三段都单独求出,且将端点处的值求出即可:
 
 
 ,x<=10
 
 
 ,10<x<20.62
 
 
 ,x>=20.62
下面是计算的页面,如果要步骤的话回复我用移动版获取步骤,网页版需要买服务才能获取过程。
https://www.wolframalpha.com/input/?i=y%3D16-6*%281.3x%2B1%29%5E0.5++inverse+function
https://www.wolframalpha.com/input/?i=y%3D16-6*%281.3x%2B1%29%5E0.5+-6x+inverse+function
https://www.wolframalpha.com/input/?i=y%3D16-6x+inverse+function
等下,这和minecraft有什么关系(周边游戏大区和问答版大区有什么关系(
懒了,用wolframalpha解吧:
由于要求反函数,所以原式的Tear Delay这里用x代替,由于是分段函数,所以三段都单独求出,且将端点处的值求出即可:
 
 
 
下面是计算的页面,如果要步骤的话回复我用移动版获取步骤,网页版需要买服务才能获取过程。
https://www.wolframalpha.com/input/?i=y%3D16-6*%281.3x%2B1%29%5E0.5++inverse+function
https://www.wolframalpha.com/input/?i=y%3D16-6*%281.3x%2B1%29%5E0.5+-6x+inverse+function
https://www.wolframalpha.com/input/?i=y%3D16-6x+inverse+function
等下,这和minecraft有什么关系(
 本帖最后由 GeForceLegend 于 2021-5-16 16:51 编辑 
我先定义一个常量 const a = 6 / 1.3f;,然后把Tears换成x
6 * x = a * ((1.3 * x + 1) ^ 0.5) ^ 2 - a
然后整个函数就变成了:
y = 16 - 6 * (1.3 * x + 1) ^ 0.5 - a * ((1.3 * x + 1) ^ 0.5) ^ 2 + a
设(1.3 * x + 1) ^ 0.5 = z
有 y = 16 - 6 * z - a * z ^ 2 + a
y - a - 16 = -a * (z + 3 / a) ^ 2 + 9 / (a ^ 2)
-(y - a - 16 - 9 / (a ^ 2)) / a = (z + 3 / a) ^ 2
两边同时开方
(-(y - a - 16 - 9 / (a ^ 2)) / a) ^ 0.5 = z + 3 / a = (1.3 * x + 1) ^ 0.5 + 3 / a
即 (-(y - a - 16 - 9 / (a ^ 2)) / a) ^ 0.5 = (1.3 * x + 1) ^ 0.5 + 3 / a
剩下的就是把 3 /a 挪到左边再两边同时平方了我就不写了
另外过程可能有误因为都是在论坛回复里面现算的,建议你自己重算一下(
编辑:
你真的确定你下面的那个function里面大于小于关系没有搞反吗
我先定义一个常量 const a = 6 / 1.3f;,然后把Tears换成x
6 * x = a * ((1.3 * x + 1) ^ 0.5) ^ 2 - a
然后整个函数就变成了:
y = 16 - 6 * (1.3 * x + 1) ^ 0.5 - a * ((1.3 * x + 1) ^ 0.5) ^ 2 + a
设(1.3 * x + 1) ^ 0.5 = z
有 y = 16 - 6 * z - a * z ^ 2 + a
y - a - 16 = -a * (z + 3 / a) ^ 2 + 9 / (a ^ 2)
-(y - a - 16 - 9 / (a ^ 2)) / a = (z + 3 / a) ^ 2
两边同时开方
(-(y - a - 16 - 9 / (a ^ 2)) / a) ^ 0.5 = z + 3 / a = (1.3 * x + 1) ^ 0.5 + 3 / a
即 (-(y - a - 16 - 9 / (a ^ 2)) / a) ^ 0.5 = (1.3 * x + 1) ^ 0.5 + 3 / a
剩下的就是把 3 /a 挪到左边再两边同时平方了我就不写了
另外过程可能有误因为都是在论坛回复里面现算的,建议你自己重算一下(
编辑:
你真的确定你下面的那个function里面大于小于关系没有搞反吗







